Pagina 1 di 1
Preparazione D76 a partire dai chimici puri.
Inviato: 05/10/2020, 11:23
da Marco Leoncino II°
Ho trovato anche io la busta di D76 ingiallit. Avendo un bilancia adatta ed uno stirrer magnetico con piano scaldato, ho pensato che sia venuto il momento di preparmi il D76 in casa. La formula e´ ben nota e se ne e´ parlato a lungo:
Water (125 deg. F) 750 ml
Metol (or "Elon") 2 gm
Sodium Sulfite, anhydrous 100 gm
Hydroquinone 5 gm
Borax, granular 2 gm
Cold water to make 1 liter
I chimici si sciolgono nell´ordine preciso in cui sono elencati. Non ho mai usato Metolo ed Idrochinone. Come si sciolgono? Uso mortaio e spruzzina per preparare un composto omogeneo da sciogliere poi in acqua? A parte questo accorgimento ci sono altre precauzioni da prendere?
Re: Preparazione D76 a partire dai chimici puri.
Inviato: 05/10/2020, 12:16
da chromemax
Si scioglie tutto senza troppi problemi, forse un po' ostico l'idrochinone ma con l'agitatore non è un problema, l'acqua può essere anche meno di 52°; personalmente peso il chimico successivo mentre si sta sciogliendo quello appena messo nell'acqua. Una cosa che si trova nei vecchi manuali è quella di sciogliere un pizzico di solfito prima del metolo; Il primo componente da sciogliere dovrebbe essere il solfito, che protegge dall'ossidazione tutti gli altri componenti chimici, ma il metolo si scioglie con difficoltà in soluzioni con pH basico per cui va messo per primo, il pizzico di solfito dovrebbe preservare il metolo senza alzare troppo il pH. Io lo faccio ma più che altro come atto rituale e scaramantico che per convinzione, infatti mi sa che sta cosa non serva a niente.
Altro consiglio è quello di usare acqua leggera altrimenti all'aggiunta del solfito si ha un intorbidimento che può essere nocivo (per la pellicola); in alternativa si può aggiungere 1g/l di EDTA tetra come chelante prima di ogni cosa.
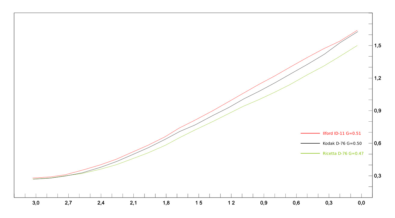
Dai miei test il D-76 da formula è un po' meno attivo del D-76 e dell'ID-11 acquistati, quindi i tempi usati sono un buon punto di partenza ma non è escluso che si debbano fare dei ritocchi (la cosa può dipendere anche dal grado di purezza, dall'età e dall'idratazione dei prodotti chimici utilizzati); non è detto che per te sia lo stesso, è una cosa che devi testare coi tuoi materiali.
Considera anche che la formula non è tamponata e che quindi varia col passare del tempo, per cui il mio consiglio è quello di preparare il quantitativo che serve e usarla tutta il prima possibile (consigliabile aspettare 24h dalla preparazione, ma non obbligatorio ;) ) in one shot.
Re: Preparazione D76 a partire dai chimici puri.
Inviato: 05/10/2020, 14:04
da Marco Leoncino II°
Ciao Diego, grazie per la risposta. Avevo letto il consiglio di sciogliere un pó di sodio solfito prima del metolo, ma non capivo se era una pratica fondata. Grazie anche per avermi ricordato che non potrebbe dare gli stessi risultati del D76 della Kodak, bisognera´ fare dei test. La mia acqua del rubinetto e´ molto morbida, quindi non dovrebbe essere un problema. Non useró acqua distillata per evitare di spappolare la gelatina.
A proposito della purezza: Borace e Sodio solfito li ho gia´ in camera oscura, li avevo comprati sulla baia. Quindi non sono sicuro che siano puri a livelli tecnici. Andranno bene lo stesso? Per Metolo ed Idrochinone ho chiesto ad un negozio di chimica che conosco qui in Germania, nelle mie vicinanze, ed a Suvlatar (che ho trovato dalla pagina di Moersch).
Re: Preparazione D76 a partire dai chimici puri.
Inviato: 05/10/2020, 14:52
da chromemax
Marco Leoncino II° ha scritto: ↑05/10/2020, 14:04
La mia acqua del rubinetto e´ molto morbida, quindi non dovrebbe essere un problema. Non useró acqua distillata per evitare di spappolare la gelatina.
In realtà in questo caso l'acqua distillata non spappolerebbe niente dato che a soluzione finita il contenuto in sali sarebbe altissimo
Il vero problema dell'acqua demineralizzata è che di quella che si trova nei supermercati non c'è nessuna certezza e quella "seria" costa. L'eccessivo rigonfiamento della gelatina avviene se si usa acqua demineralizzata per il lavaggio o se si lascia in ammollo.
A proposito della purezza: Borace e Sodio solfito li ho gia´ in camera oscura, li avevo comprati sulla baia. Quindi non sono sicuro che siano puri a livelli tecnici. Andranno bene lo stesso? Per Metolo ed Idrochinone ho chiesto ad un negozio di chimica che conosco qui in Germania, nelle mie vicinanze, ed a Suvlatar (che ho trovato dalla pagina di Moersch).
In teoria il grado di purezza richiesto a livello fotografico è superiore a quello farmaceutico, ma attualmente ho dei dubbi che qualche produttore si faccia degli scrupoli a non usare un po' quello che trova, vista la situazione del mercato fotografico. A mio parere, ma non sono un esperto, un grado F.U. (Farmacopea Ufficiale) o equivalente (USP è quello americano) è già ottimo; per alcune cose, tipo l'acido citrico per l'arresto, anche il grado alimentare va più che bene. Il grado analitico per la stragrande maggioranza dei casi è inutilmente costoso (forse potrebbe avere un senso usarlo se facessi del platino/palladio, dove un risparmio di qualche decina di euro non avrebbe senso rispetto al rischio di buttare tutto). Il grado tecnico non è un valore riconosciuto per cui potrebbe esserci di tutto, anche se il solfito marcato "tecnico" usato finora non mi ha mai dato problemi, ma di queste cose in genere te ne accorgi dopo un po' di tempo...
Anche Bellini e Alexcolor vendono chimici sfusi che presumibilmente sono gli stessi che usano nei loro prodotti per cui dovrebbero essere"testati"

Re: Preparazione D76 a partire dai chimici puri.
Inviato: 06/10/2020, 10:54
da Marco Leoncino II°
Grazie Diego, risposte molto esaustive. Sto anche valutando di prepararmi gli sviluppi per carta (tono neutro e caldo).
Re: Preparazione D76 a partire dai chimici puri.
Inviato: 15/10/2020, 10:12
da Marco Leoncino II°
Rieccomi:
non mi sono fidato di comprare il metolo e l´idrochinone su Ebay, visto che in vecchie discussioni si parlava di chimici di dubbia provenienza, per cui li ho ordinati presso un negozio di chimica vicino a casa mia:
il sodio solfito ed il borace gia´ l´avevo (comprati su Ebay, purezza dichiarata al 98%). Due giorni fa ho preparato un litro di D76 e ieri ho sviluppato un rullo nella diluizione 1:1. Risultati promettenti! E´ stato emozionante quasi come sviluppare il primo rullino!
Re: Preparazione D76 a partire dai chimici puri.
Inviato: 15/10/2020, 21:42
da Mandelbrot
Ciao
Che tipo di bilancia usare per pesare queste polveri!
Potete darmi qualche suggerimento?
Grazie
Re: Preparazione D76 a partire dai chimici puri.
Inviato: 16/10/2020, 7:09
da Marco Leoncino II°
Mandelbrot ha scritto: ↑15/10/2020, 21:42
Ciao
Che tipo di bilancia usare per pesare queste polveri!
Potete darmi qualche suggerimento?
Grazie
Quelle dei cinesi, che sono usate con orgoglio dai pesaliquidi, vanno bene. Io pero´ le trovo primitive e preferisco fidarmi di una bilancia meccanica piuttosto che di un sensore di pressione che col tempo potrebbe perdere affidabilita´. E poi quelle cinesi si rompono dopo pochi mesi, sono di plasticaccia e dipendono dalle batterie. Adopero una Ohaus cent-o-gram come questa:
Nuova costa sui 300 Euro, io la pagai circa 10 euro (!) perche´ il venditore la mise in vendita su Ebay in un´asta che ando´ deserta. Mi disse che la metteva in vendita ad un prezzo basso perche´ non era in grado di usarla perche´ troppo complicata (sic!).
Se cerchi su Ebay (almeno su Ebay.de) ne trovi spesso, usate, a prezzi interessanti.
Re: Preparazione D76 a partire dai chimici puri.
Inviato: 28/10/2020, 13:18
da trinchetto
Se vai dai negozi cinesi trovi delle bilancine digitali dichiarate al centesimo di grammo con portata massima di 100 grammi per circa 10 euro.
Se vuoi vedere se la tua è precisa cerca una moneta nuova, pesala e vai a vedere su internet qual'è il peso nominale.
La mia va benissimo e ne sono molto soddisfatto.
Re: Preparazione D76 a partire dai chimici puri.
Inviato: 28/10/2020, 13:25
da Marco Leoncino II°
trinchetto ha scritto: ↑28/10/2020, 13:18
La mia va benissimo e ne sono molto soddisfatto.
L´importante e´ quello.
Ma si tratta in ogni modo di robaccia.
Re: Preparazione D76 a partire dai chimici puri.
Inviato: 28/10/2020, 14:58
da Marco Leoncino II°
Cit. Sandro:
"Per pesare gli ingredienti vanno benissimo le bilancine cinesi purché abbiano divisione 0.1g ed andrebbero verificate con pesi tarati. Da evitare quelle con divisione 0.05g o 0.01g perché tanto sono fasulle, in realtà hanno divisione un decimo e truccano l'indicazione del display con l'elettronica di bordo: per prova basta ripetere una pesata dieci volte per ottenere dieci risultati diversi."
Re: Preparazione D76 a partire dai chimici puri.
Inviato: 11/01/2021, 10:16
da maxpina
Scusa @chromemax visto che devo prendermi un agitatore magnetico, è il caso di averlo con piastra riscaldante o no ?
Grazie
Re: Preparazione D76 a partire dai chimici puri.
Inviato: 11/01/2021, 10:53
da chromemax
maxpina ha scritto: ↑11/01/2021, 10:16
Scusa @chromemax visto che devo prendermi un agitatore magnetico, è il caso di averlo con piastra riscaldante o no ?
Grazie
Dipende da quanto in più ti viene a costare il modello con la piastra riscaldante e dall'uso che devi farne, se è per sciogliere i chimici in polvere già preparati, tipo d-76 o x-tol, o anche per farseli da soli da chimici sfusi, basta partire con dell'acqua calda a 40-50°C. Con la piastra riscaldante poi devi usare la fragile e più costosa vetreria chimica, i più comodi ed economici recipienti in plastica non vanno bene.
Re: Preparazione D76 a partire dai chimici puri.
Inviato: 11/01/2021, 11:01
da maxpina
Mah, volevo provare a prepararmi il D76 con i chimici puri, io un bicchiere da 2 litri in vetro pirex (lab chimico) ce l'ho , normalmente il D76 parto da 52°C , ho sempre sciolto anche senza agitazione automatica, nessun problema, qui leggo che sarebbe opportuno usare l'agitatore magnetico ......allora mi sono posto questo problema adesso che fa freddo e che nella mia CO ci sono 12°C ,nel frattempo che i chimici si sciolgono l'acqua si raffredda, potrebbe essere un problema, la differenza è di circa 40 euro per versioni Amazon non professionali.
Re: Preparazione D76 a partire dai chimici puri.
Inviato: 11/01/2021, 13:25
da chromemax
L'agitatore magnetico non è che sia più "opportuno", è solo più comodo (fai altro mentre lui gira), molto comodo per polveri che si sciolgono con più difficoltà, tipo l'X-tol, ma per il quale bisogna avere un agitatore che gestisca un bicchiere da 5litri e relativa ancoretta. Se l'acqua di raffredda durante lo scioglimento non succede niente se non che ci vuole solo un po' più di tempo. A me l'agitatore aiuta per quando faccio la stampa al carbone dove un'agitazione lenta e costante e una temperatura controllata aiuta a prevenire le bolle e a non stressare la struttura elastica della gelatina del glop.
Re: Preparazione D76 a partire dai chimici puri.
Inviato: 11/01/2021, 14:04
da maxpina
Ah ok grazie @chromemax
Re: Preparazione D76 a partire dai chimici puri.
Inviato: 16/01/2021, 19:13
da maxpina
Scusate, I chimici puri scaduti hanno un effetto deleterio sulle pellicole? (mi hanno regalato del Metolo scaduto nel 2013....) e il caso di buttarlo? Solfito? Borace?
Re: Preparazione D76 a partire dai chimici puri.
Inviato: 17/01/2021, 8:31
da Marco Leoncino II°
maxpina ha scritto: ↑11/01/2021, 11:01
a differenza è di circa 40 euro per versioni Amazon non professionali.
Io trovo comodissimo il piano scaldante per le tecniche antiche (per esempio per sciogliere l´ossalato ferrico in polvere in acqua: il processo richiede molto tempo, circa 1 ora e la temperatura deve essere costante).
Comunque, ti consiglierei di cercare anche su Ebay, nel mercato dell´usato. Io ho comprato una IKAMag a meno di 80 Euro. E´ vero, ci si deve sbattere un po´ di più ma a volte ne vale la pena. Ce ne sono molti sulla baia tedesca, devi cercare "Magnetrührer ika".
Re: Preparazione D76 a partire dai chimici puri.
Inviato: 01/05/2021, 20:49
da teofilatto
Riprendo questa discussione perché sarei interessato anch'io a preparare il d76.
Vorrei sapere dove procurare i chimici, possibilmente online. Inoltre vorrei capire quanto tempo dura la soluzione stock.
Re: Preparazione D76 a partire dai chimici puri.
Inviato: 01/05/2021, 23:51
da trinchetto
Teofilatto a Genova c'è la Farmochimica. Prova lì!
Re: Preparazione D76 a partire dai chimici puri.
Inviato: 02/05/2021, 12:00
da teofilatto
Grazie per la segnalazione @trinchetto ,
sulla lista del loro sito web già non vedo metolo ed idrochinone....forse è meglio contattarli direttamente per maggiori informazioni
Re: Preparazione D76 a partire dai chimici puri.
Inviato: 02/05/2021, 23:50
da trinchetto
Non so cosa trattino al momento. Ma è sempre stato il miglior fornitore di chimici fotografici sfusi. Scrivi qui cosa trovi che sarà utile per tutti.
Ciao
Re: Preparazione D76 a partire dai chimici puri.
Inviato: 03/05/2021, 8:56
da guerriky
teofilatto ha scritto: ↑01/05/2021, 20:49
Riprendo questa discussione perché sarei interessato anch'io a preparare il d76.
Vorrei sapere dove procurare i chimici, possibilmente online. Inoltre vorrei capire quanto tempo dura la soluzione stock.
Fotomatica?
https://fotomatica.it/shop/86-chimici-puri
Per la durata, non mi darei pensiero, con i chimici puri puoi fare le proporzioni anche per solo 300ml di stock e usarlo 1:1 oneshot per quello che devi fare.
Re: Preparazione D76 a partire dai chimici puri.
Inviato: 03/05/2021, 10:04
da Marco Leoncino II°
Re: Preparazione D76 a partire dai chimici puri.
Inviato: 03/05/2021, 12:53
da teofilatto
guerriky ha scritto: ↑03/05/2021, 8:56
teofilatto ha scritto: ↑01/05/2021, 20:49
Riprendo questa discussione perché sarei interessato anch'io a preparare il d76.
Vorrei sapere dove procurare i chimici, possibilmente online. Inoltre vorrei capire quanto tempo dura la soluzione stock.
Fotomatica?
https://fotomatica.it/shop/86-chimici-puri
Per la durata, non mi darei pensiero, con i chimici puri puoi fare le proporzioni anche per solo 300ml di stock e usarlo 1:1 oneshot per quello che devi fare.
Minghia, e dire che è il mio rifornitore principale di materiale analogico e non mi ero accorto che aveva questi prodotti..... grazie
Re: Preparazione D76 a partire dai chimici puri.
Inviato: 03/05/2021, 12:57
da teofilatto
e con questo direi che dovremmo avere abbastanza chimici
Re: Preparazione D76 a partire dai chimici puri.
Inviato: 03/05/2021, 13:10
da teofilatto
guerriky ha scritto: ↑03/05/2021, 8:56
Per la durata, non mi darei pensiero, con i chimici puri puoi fare le proporzioni anche per solo 300ml di stock e usarlo 1:1 oneshot per quello che devi fare.
Per rendere il processo più comodo vorrei evitare di dover preparare ogni volta lo stock.
Re: Preparazione D76 a partire dai chimici puri.
Inviato: 12/01/2022, 1:29
da Damiano1987
Ciao a tutti!
Anche io mi sto accingendo a prepararmi il D76.
Cercando su un po' di libri ho trovate altre due varianti che incollo qui sotto, nel caso potessero servire a qualcuno:
D-76H
Water at 52C, 750.0 ml
Metol, 2.5 g
Sodium sulfite, 100.0 g
Borax, 2.0 g
Water to make 1.0 liter
D-76D
Water at 52C, 750.0 ml
Metol, 2g
Hydroquinone, 5g
Sodium sulfite, 100.0 g
Borax, 8.0 g
Boric acid, 8.0g
Water to make 1.0 liter
Il D-76H, secondo The Darkroom Cookbook, dovrebbe essere indistinguibile dal D76.
This formula is indistinguishable from Kodak D-76 and can be used in exactly the same way,
including the same development times. It has the advantage of costing less to make, being
more “environmentally friendly,” and being more stable than D-76.
Il D-76D si legge sia identico al D76 nell'immediatezza della preparazione, ma essendo tamponato dovrebbe conservarsi meglio e garantire risultati più stabili. In sintesi, se si utilizza subito tutta la stock va bene la ricetta del 1927. Se invece si intende conservarla come fosse la bustina della Kodak, allora è meglio preparare la variante D-76D.
Preparazione D76 a partire dai chimici puri.
Inviato: 12/01/2022, 9:25
da Devis91
Buongiorno a tutti, lèggevo questo topic e mi è venuto in mente che potrebbe essere la soluzione ad un mio annoso problema, quello della scadenza dei chimici aperti.
Io scatto in questo periodo davvero poco, meno (molto molto meno) di un rullo al mese e generalmente preferisco usare chimica one shot. Per non dover ricomprare ogni volta chimica fresca mi sono concentrato su quella in polvere (id-11 da 1 litro) e ho comprato il pmk che dovrebbe avere una stabilità notevole nel tempo anche una volta aperto.
In ogni caso l’id11 mi dura tre rulli diluito 1:1, ma leggevo qui che il d76 puó essere creato proprio alla bisogna e la cosa non sarebbe affatto male visto che comunque una volta che ho preparato l’id11 comunque tra un rullo e l’altro puó passare parecchio tempo.
I chimici puri aperti ma non diluiti che durata hanno di solito? (Se tenuti al buio in luogo fresco e asciutto)
Grazie
Inviato dal mio iPhone utilizzando Tapatalk
Re: Preparazione D76 a partire dai chimici puri.
Inviato: 12/01/2022, 9:38
da -Sandro-
Il D76 stock dura sei mesi, altri prodotti di meno o di più, dipende, ognuno ha la sua vita.
Re: Preparazione D76 a partire dai chimici puri.
Inviato: 12/01/2022, 9:42
da Devis91
Grazie, no io intendevo proprio i singoli chimici sfusi, idrochinone in polvere, metolo in polvere ecc una volta che sono stati aperti
Inviato dal mio iPhone utilizzando Tapatalk
Re: Preparazione D76 a partire dai chimici puri.
Inviato: 12/01/2022, 10:41
da Damiano1987
Devis91 ha scritto: ↑12/01/2022, 9:42
Grazie, no io intendevo proprio i singoli chimici sfusi, idrochinone in polvere, metolo in polvere ecc una volta che sono stati aperti
Inviato dal mio iPhone utilizzando Tapatalk
Se ben conservati sono eterni
Re: Preparazione D76 a partire dai chimici puri.
Inviato: 12/01/2022, 11:13
da -Sandro-
Devis91 ha scritto: ↑12/01/2022, 9:25
I chimici puri aperti ma non diluiti
Allora il termine corretto è "non disciolti", altrimenti fai pensare ad un liquido concentrato da diluire in acqua.
I sali che non sono fotosensibili o igroscopici sono molto longevi, eterni no, ma possono durare anni.
Re: Preparazione D76 a partire dai chimici puri.
Inviato: 12/01/2022, 11:15
da Devis91
Ottimo, grazie! Ben conservati significa semplicemente al buio in luogo fresco e asciutto oppure magari è il caso di metterli tipo sotto vuoto in buste per alimenti? Lèggevo da qualche parte di chimici in polvere completamente ossidati che erano tipo diventati marroni
Re: Preparazione D76 a partire dai chimici puri.
Inviato: 12/01/2022, 11:59
da Damiano1987
I sali più che altro tendono a idratarsi e questo rende impossibile una pesata esatta, ma non si degradano. Se si ha cura di conservarli in recipienti ermetici possono durare più del fotografo. L'idrochinone quando si scassa passa da incolore a marrone, ma ne ho una bottiglia della Carlo Erba vecchia di almeno 20 anni ed è ancora incolore
Re: Preparazione D76 a partire dai chimici puri.
Inviato: 14/01/2022, 14:43
da Andrea67c
Qualcuno ha usato il d76 home made su apx100 new? O su foma400? Sarei curioso sui tempi di sviluppo....
Ciao!
A.
Re: Preparazione D76 a partire dai chimici puri.
Inviato: 14/01/2022, 18:11
da chromemax
Andrea67c ha scritto: ↑14/01/2022, 14:43
Qualcuno ha usato il d76 home made su apx100 new? O su foma400? Sarei curioso sui tempi di sviluppo....
Ciao!
A.
Gli stessi tempi del D-76 commericiale...sennò che D-76 sarebbe

Re: Preparazione D76 a partire dai chimici puri.
Inviato: 14/01/2022, 18:21
da Andrea67c
Ma Diego, dicevi proprio tu che i tempi erano dissimili, tra homemade e commerciale, intendevi dire dissimili di poco?
La ragione della mia domanda è che ad esempio il Fomadon P, dichiarato dalla casa come un simil D76, idrochinonico

, in realtà sviluppa meno (cioè bisogna cuocere il film più a lungo) del ID11: ero curioso di capire se magari anche in casa Foma avessero preso la ricettina di Darkroom Cookbook, e via.
Ciao!
Re: Preparazione D76 a partire dai chimici puri.
Inviato: 15/01/2022, 0:52
da Pierpaolo B
Il d76 che preparavo in casa sviluppava un po’ di piú di quello commerciale.
Lo preparavo con acqua minerale e i chimici che prendevo da Ornano (costavano estremamente pochissimo).
La differenza era minima ma c’era….. fai i conti di l’ID11.
Oggi non ne vale la pena…. Vedi cosa costano i chimici e vedi cosa costa uno scatolo di id11 per 5 litri.
Re: Preparazione D76 a partire dai chimici puri.
Inviato: 15/01/2022, 7:08
da Andrea67c
Pierpaolo B ha scritto: ↑15/01/2022, 0:52
Oggi non ne vale la pena…. Vedi cosa costano i chimici e vedi cosa costa uno scatolo di id11 per 5 litri.
Sì, l'ho notato. Bisognerebbe trovare in zona uno spaccio per professionisti (chimici, non fotografi) e comprarne in quantità maggiori. I negozi di fotografia, chiaramente, tengono il prezzo su.
Ciao!
A.
Re: Preparazione D76 a partire dai chimici puri.
Inviato: 15/01/2022, 7:55
da Pierpaolo B
Anni fa acef e Carloerba vendevano a tutti…. Ora penso di no.
Differentemente in Cina si trova a buon prezzo ma hanno il coraggio di vendere kili e la qualità ė tutta da vedere
Re: Preparazione D76 a partire dai chimici puri.
Inviato: 15/01/2022, 7:55
da Pierpaolo B
Anni fa acef e Carloerba vendevano a tutti…. Ora penso di no.
Differentemente in Cina si trova a buon prezzo ma hanno il coraggio di vendere kili e la qualità ė tutta da vedere
Re: Preparazione D76 a partire dai chimici puri.
Inviato: 15/01/2022, 8:11
da bengi3
io lavoro all'universitá in laboratorio e sono in contatto coi rappresentanti di mezza italia. se mi date l'elenco delle sostanze posso farmi fare dei preventivi. poi faccio fare le pesate e confeziono qui e magari in occasione di una pizzata a Perugia, chi può se li viene a pendere. agli altri li spediremo.
Preparazione D76 a partire dai chimici puri.
Inviato: 15/01/2022, 8:44
da zone-seven
bengi3 ha scritto:io lavoro all'universitá in laboratorio e sono in contatto coi rappresentanti di mezza italia. se mi date l'elenco delle sostanze posso farmi fare dei preventivi. poi faccio fare le pesate e confeziono qui e magari in occasione di una pizzata a Perugia, chi può se li viene a pendere. agli altri li spediremo.
questa mi pare buona cosa …. più tardi metto l’elenco
Re: Preparazione D76 a partire dai chimici puri.
Inviato: 15/01/2022, 9:03
da Devis91
bengi3 ha scritto:io lavoro all'universitá in laboratorio e sono in contatto coi rappresentanti di mezza italia. se mi date l'elenco delle sostanze posso farmi fare dei preventivi. poi faccio fare le pesate e confeziono qui e magari in occasione di una pizzata a Perugia, chi può se li viene a pendere. agli altri li spediremo.
Nel caso sono interessato a partecipare
Inviato dal mio iPhone utilizzando Tapatalk
Re: Preparazione D76 a partire dai chimici puri.
Inviato: 15/01/2022, 9:06
da Marco Leoncino II°
Pierpaolo B ha scritto: ↑15/01/2022, 0:52
Oggi non ne vale la pena…. Vedi cosa costano i chimici e vedi cosa costa uno scatolo di id11 per 5 litri.
Effettivamente ho notato che da voi in Italia e´ difficile procurarsi prodotti chimici.
Ho fatto i calcoli a spanne perche´ adesso vorrei andare a stampare e mi sembra che con circa 3 Euro sia possibile fare 1 litro di D76.
Poi dipende dai volumi di sviluppo che ognuno di noi ha.
Con pochi chimici in piu´ ci si prepara anche gli sviluppi per la carta.
Re: Preparazione D76 a partire dai chimici puri.
Inviato: 15/01/2022, 9:09
da Andrea67c
bengi3 ha scritto: ↑15/01/2022, 8:11
io lavoro all'universitá in laboratorio e sono in contatto coi rappresentanti di mezza italia. se mi date l'elenco delle sostanze posso farmi fare dei preventivi. poi faccio fare le pesate e confeziono qui e magari in occasione di una pizzata a Perugia, chi può se li viene a pendere. agli altri li spediremo.
Questa sarebbe una cosa bellissima. Sono tantissimi anni che non vengo a Perugia, città me-ra-vi-glio-sa! Sarebbe una scusa ottima.
Ciao!
A.
Re: Preparazione D76 a partire dai chimici puri.
Inviato: 15/01/2022, 9:57
da chromemax
In Italia
Labotech2000 ti procura tutto quello che è legale e anche
Bellini vende chimica sciolta, infine
Axel Color oltre a chimica base per il BN (dal loro ho trovato il tiosolfato di ammonio per fare il fix basico a casa) hanno anche chimica base per il colore (CD3 e CD4) per chi volesse cimentarsi nella preparazione casalinga dei bagni colore.
@Andrea67c e
@Pierpaolo B da me il D-76 casalingo è meno energico.
Farsi la chimica in casa comporta risultati più ballerini, a meno di non avere uno smercio costante e di sicura freschezza di chimica sfusa (il mio chilo di idrochinone è lì da un sacco d'anni e sono ancora ben lungi da vedere il fondo del barattolo).
Anche se pesando una decina di buste di Kodak D-76 non avevano mica tutte lo stesso peso.
Re: Preparazione D76 a partire dai chimici puri.
Inviato: 15/01/2022, 10:01
da bengi3
in ogni caso mandami la lista e facciamo un conto di quanti chili di reagenti ordinare, poi vediamo se vale la pena. un sabato o domenica venite tutti qui e ci mettiamo in laboratorio a pesare e fare i barattolini o le buste. ho anche la macchina del sottovuoto
Re: Preparazione D76 a partire dai chimici puri.
Inviato: 15/01/2022, 11:08
da Maurizio Maurizio
ciao chromemax
grazie per la dritta
non sapevo della vendita dei singoli componenti CD3 e CD4.
qualora un giorno volessi sperimentare con lo sviluppo C41 so dove prenderli
Re: Preparazione D76 a partire dai chimici puri.
Inviato: 15/01/2022, 14:13
da Pierpaolo B
chromemax ha scritto: ↑15/01/2022, 9:57
Anche se pesando una decina di buste di Kodak D-76 non avevano mica tutte lo stesso peso.
Questo l’ho notato pure io. È una malizia che ho sempre avuto. Ci sono differenze di anche di 10-12g. Sull’id11 mai più di 5 sul sacchetto grande (che é solo sodio solfito) mentre il sacchetto piccolo é ok.
Re: Preparazione D76 a partire dai chimici puri.
Inviato: 15/01/2022, 14:16
da Pierpaolo B
Comunque a me giá rompe preparare il vocione di id11 figuriamoci dover ricominciare a pesare per preparare un chimico che si trova giá fatto. Per me ha senso se si vogliono fare brodi estinti o non in commercio….. differentemente non ci penso nemmeno anche se un po’ di chimici di scorta li prenderei volentieri.
Re: Preparazione D76 a partire dai chimici puri.
Inviato: 15/01/2022, 14:18
da Pierpaolo B
Se si volesse fare un ordine consiglio di non usare i nomi commerciali ma solo il CAS e occorre farsi indicare il grado di purezza che fotograficamente ha tolleranze
Re: Preparazione D76 a partire dai chimici puri.
Inviato: 15/01/2022, 14:25
da bengi3
Pierpaolo B ha scritto: ↑15/01/2022, 14:18
Se si volesse fare un ordine consiglio di non usare i nomi commerciali ma solo il CAS e occorre farsi indicare il grado di purezza che fotograficamente ha tolleranze
Altrimenti un reagente ultrapuro ci costa più dell’oro
Re: Preparazione D76 a partire dai chimici puri.
Inviato: 15/01/2022, 14:38
da Devis91
Pierpaolo B ha scritto:Comunque a me giá rompe preparare il vocione di id11 figuriamoci dover ricominciare a pesare per preparare un chimico che si trova giá fatto. Per me ha senso se si vogliono fare brodi estinti o non in commercio….. differentemente non ci penso nemmeno anche se un po’ di chimici di scorta li prenderei volentieri.
Io invece sviluppando una volta ogni morte di papa vedo nei chimici puri la salvezza. Così posso preparare i miei bei 300 ml di d76, diluirlo poi 1:1 a 600ml e svilupparmi il singolo rullino medio formato senza buttare via un litro intero (cosa già successa).
Anzi mi metterò a cercare anche formule per il fissaggio e per lo sviluppo carta, sempre se conviene
Inviato dal mio iPhone utilizzando Tapatalk
Re: Preparazione D76 a partire dai chimici puri.
Inviato: 15/01/2022, 15:30
da Andrea67c
Hai ragione. A prima vista non sembrerebbe, ma proprio chi tratta pellicola e carta più raramente può beneficiare di più dall'avere i chimici puri e la bilancia in casa!
Oppure, come dice Pierpaolo, chi vuol sperimentare sempre nuove ricette.
Il fotografo da 3-10 rulli al mese se la cava come sempre con le confezioni solite. Spende un pò di più.
Ciao!
A.
Re: Preparazione D76 a partire dai chimici puri.
Inviato: 15/01/2022, 15:34
da Pierpaolo B
Per gli "sporadici" la soluzione migliore sarebbero le pastiglie che annunció tetenal se mai arriveranno (ma penso che non le vedremo mai….troppo pericolose)
Re: Preparazione D76 a partire dai chimici puri.
Inviato: 15/01/2022, 15:49
da Maurizio Maurizio
Tetenal produce queste
qui: le Parvofin Tabs
Preparazione D76 a partire dai chimici puri.
Inviato: 15/01/2022, 15:57
da Devis91
Vabbè, quella roba tetenal è fantastica ma super costosa. Nella soluzione economica si usano 4 pasticche per 600 ml (2xA e 2xB) quindi ci fai in tutto 5 pellicole 120 con un costo di 6 euro a pellicola

comunque magari le proverò se le trovo
Ora che ci penso però mi viene in mente una cosa.
Nei primi post di questa discussione ho letto che i chimici per il d76 vanno sciolti in ordine, tuttavia normalmente nella busta commerciale sono tutti mischiati. Si potrebbe quindi preparare la giusta dose tipo per 300ml con tutti i chimici mischiati in apposite bustine da tenere pronte alla bisogna? In modo tipo da fare 10 bustine già pronte e usarle direttamente (tipo pusher

)
Inviato dal mio iPhone utilizzando Tapatalk
Re: Preparazione D76 a partire dai chimici puri.
Inviato: 15/01/2022, 16:06
da Maurizio Maurizio
meglio di no. prendendo un'aliquota di polvere direttamente dal bustone di D76 non puoi sapere in che proporzione sono tra loro i vari ingredienti. variando la proporzione varia l'attività dello sviluppo. vedi "superadditività" degli agenti rivelatori.
Preparazione D76 a partire dai chimici puri.
Inviato: 15/01/2022, 16:13
da Devis91
No mi sono spiegato male.
Intendevo che se parto dai chimici puri comprati separati e so che ci vuole un tot di metolo, un tot di idrochinone ecc per 300 ml di acqua, posso prepararmi tante bustine in anticipo in ciascuna delle quali metto le giuste proporzioni per poi discioglierne una alla bisogna quando devo sviluppare?
Comunque vedevo che di quelle pasticche sta anche il fissaggio, che pare più conveniente.
La combo d76 fatto in casa + tabs di fissaggio potrebbe essere una soluzione fantastica!
Inviato dal mio iPhone utilizzando Tapatalk
Re: Preparazione D76 a partire dai chimici puri.
Inviato: 15/01/2022, 16:18
da zone-seven
Devis91 ha scritto:Vabbè, quella roba tetenal è fantastica ma super costosa. Nella soluzione economica si usano 4 pasticche per 600 ml (2xA e 2xB) quindi ci fai in tutto 5 pellicole 120 con un costo di 6 euro a pellicola

comunque magari le proverò se le trovo
Ora che ci penso però mi viene in mente una cosa.
Nei primi post di questa discussione ho letto che i chimici per il d76 vanno sciolti in ordine, tuttavia normalmente nella busta commerciale sono tutti mischiati. Si potrebbe quindi preparare la giusta dose tipo per 300ml con tutti i chimici mischiati in apposite bustine da tenere pronte alla bisogna? In modo tipo da fare 10 bustine già pronte e usarle direttamente (tipo pusher

)
Inviato dal mio iPhone utilizzando Tapatalk
se parti dai chimici “sfusi” si, diversamente è come ha detto [mention]Maurizio Maurizio [/mention] prima di me .
Anche nel mio caso il D76 home è po’ meno “aggressivo” ma non così tanto … divina che con un test si trova la quadra.
I chimici, in polvere possono cambiare un po’ il loro peso magari perché cambia la percentuale di umidità o cose simili , che però ho sempre ritenuto trascurabili anche perché le stesse buste di id11 e d76 non pesano sempre allo stesso modo.
I rivelatori allo stato liquido da questo punto di vista potrebbero essere più stabili, forse .
La spesa iniziale può essere importante ma il bello di provare un Ansco17 piuttosto che Ansco 130 nn ha prezzo … il 130 per la carta è molto carino
Il 17 per giocare ad allungare e/o accorciare i tempi per gli n+1/-1 è divertente tanto sotto un certo tempo di sviluppo non ci si va mai ed ha anche meno sodio solfito rispetto a d76 il che per la grana/contrasto/acutanza potrebbe essere un bene.
Re: Preparazione D76 a partire dai chimici puri.
Inviato: 15/01/2022, 16:23
da Maurizio Maurizio
ah ok, adesso ho capito.
ti riporto quanto scritto sul libro citato all'inizio di questa discussione
"Variations on D-76: The packaged Kodak formula contains a number of additional chemicals to prevent the metol from deteriorating in the presence of the sodium sulfite and enable it to mix easily in all types of hard and soft water. This allows the formula to be sold as a single package.
Ilford markets the formula in two packages, separating the metol from the sulfi te, under the name ID-11. This eliminates some, though not all, of the extra chemicals found in the Kodak version."
Re: Preparazione D76 a partire dai chimici puri.
Inviato: 15/01/2022, 17:15
da Damiano1987
bengi3 ha scritto: ↑15/01/2022, 8:11
io lavoro all'universitá in laboratorio e sono in contatto coi rappresentanti di mezza italia. se mi date l'elenco delle sostanze posso farmi fare dei preventivi. poi faccio fare le pesate e confeziono qui e magari in occasione di una pizzata a Perugia, chi può se li viene a pendere. agli altri li spediremo.
Anche io ho la stessa fortuna

Re: Preparazione D76 a partire dai chimici puri.
Inviato: 15/01/2022, 19:12
da Kojiro
Mi chiedevo : quale è il modo migliore di conservare i prodotti chimici in polvere ? È sufficiente lasciarli nei sacchettini con cui normalmente vengono spediti?

Re: Preparazione D76 a partire dai chimici puri.
Inviato: 15/01/2022, 19:19
da Devis91
Maurizio Maurizio ha scritto:ah ok, adesso ho capito.
ti riporto quanto scritto sul libro citato all'inizio di questa discussione
"Variations on D-76: The packaged Kodak formula contains a number of additional chemicals to prevent the metol from deteriorating in the presence of the sodium sulfite and enable it to mix easily in all types of hard and soft water. This allows the formula to be sold as a single package.
Ilford markets the formula in two packages, separating the metol from the sulfi te, under the name ID-11. This eliminates some, though not all, of the extra chemicals found in the Kodak version."
Ah ok, grazie!
Inviato dal mio iPhone utilizzando Tapatalk
Re: Preparazione D76 a partire dai chimici puri.
Inviato: 15/01/2022, 19:20
da Pierpaolo B
Maurizio Maurizio ha scritto: ↑15/01/2022, 16:23
ah ok, adesso ho capito.
ti riporto quanto scritto sul libro citato all'inizio di questa discussione
"Variations on D-76: The packaged Kodak formula contains a number of additional chemicals to prevent the metol from deteriorating in the presence of the sodium sulfite and enable it to mix easily in all types of hard and soft water. This allows the formula to be sold as a single package.
Ilford markets the formula in two packages, separating the metol from the sulfi te, under the name ID-11. This eliminates some, though not all, of the extra chemicals found in the Kodak version."
Il metolo si ossida con estrema facilità. Se si scioglie da solo perde velocemente efficacia. Occorre presolfitare leggermente l'acqua, poi sciogliere il metolo e successivamente il rimanente sodio solfito.
Re: Preparazione D76 a partire dai chimici puri.
Inviato: 15/01/2022, 19:21
da Devis91
Pierpaolo B ha scritto:Maurizio Maurizio ha scritto: ↑15/01/2022, 16:23
ah ok, adesso ho capito.
ti riporto quanto scritto sul libro citato all'inizio di questa discussione
"Variations on D-76: The packaged Kodak formula contains a number of additional chemicals to prevent the metol from deteriorating in the presence of the sodium sulfite and enable it to mix easily in all types of hard and soft water. This allows the formula to be sold as a single package.
Ilford markets the formula in two packages, separating the metol from the sulfi te, under the name ID-11. This eliminates some, though not all, of the extra chemicals found in the Kodak version."
Il metolo si ossida con estrema facilità. Se si scioglie da solo perde velocemente efficacia. Occorre presolfitare leggermente l'acqua, poi sciogliere il metolo e successivamente il rimanente sodio solfito.
Presolfitare quanto? Tipo 1/10 prima e 9/10 dopo?
Inviato dal mio iPhone utilizzando Tapatalk
Re: Preparazione D76 a partire dai chimici puri.
Inviato: 15/01/2022, 19:26
da Pierpaolo B
Si va a occhio
E' sufficiente pochissimo...
....la punta di un cucchiaino nella dose per 1lt....
...insomma QB.
Re: Preparazione D76 a partire dai chimici puri.
Inviato: 15/01/2022, 19:33
da Maurizio Maurizio
ne parlava chromemax all'inizio di questa discussione:
chromemax ha scritto: ↑05/10/2020, 12:16
Si scioglie tutto senza troppi problemi, forse un po' ostico l'idrochinone ma con l'agitatore non è un problema, l'acqua può essere anche meno di 52°; personalmente peso il chimico successivo mentre si sta sciogliendo quello appena messo nell'acqua. Una cosa che si trova nei vecchi manuali è quella di sciogliere un pizzico di solfito prima del metolo; Il primo componente da sciogliere dovrebbe essere il solfito, che protegge dall'ossidazione tutti gli altri componenti chimici, ma il metolo si scioglie con difficoltà in soluzioni con pH basico per cui va messo per primo, il pizzico di solfito dovrebbe preservare il metolo senza alzare troppo il pH. Io lo faccio ma più che altro come atto rituale e scaramantico che per convinzione, infatti mi sa che sta cosa non serva a niente.
sempre dallo stesso libro:
"Although metol is easily soluble in water, it is not soluble in a strong sodium sulfite solution. It will dissolve readily in a weak solution of sulfite"
"Add a pinch of the total sulfite, dissolve the metol completely and then add the remainder of the sulfite."
Re: Preparazione D76 a partire dai chimici puri.
Inviato: 15/01/2022, 20:03
da Pierpaolo B
In italiano l'ho scritto sopra

Re: Preparazione D76 a partire dai chimici puri.
Inviato: 15/01/2022, 21:51
da Maurizio Maurizio
sì, vero
il fatto è che sono un po' pigro e quando posso vado di copia&incolla

Re: Preparazione D76 a partire dai chimici puri.
Inviato: 15/01/2022, 23:51
da Damiano1987
Kojiro ha scritto: ↑15/01/2022, 19:12
Mi chiedevo : quale è il modo migliore di conservare i prodotti chimici in polvere ? È sufficiente lasciarli nei sacchettini con cui normalmente vengono spediti?
I sali basta tenerli asciutti. Anche idrochinone e catecolo durano una vita se conservati al riparo da luce e umidità in un barattolo ben chiuso. Metolo e fenidone non so
Re: Preparazione D76 a partire dai chimici puri.
Inviato: 15/01/2022, 23:56
da Pierpaolo B
Il fatto che prendano aria e soprattutto umidità li rende molto meno longevi di ciò che si pensa. Se un sale prende umidità la pesata diviene inaffidabile e il chimico inservibile anche se ancora attivo.
Re: Preparazione D76 a partire dai chimici puri.
Inviato: 16/01/2022, 0:09
da Andrea67c
Pierpaolo B ha scritto: ↑15/01/2022, 23:56
Il fatto che prendano aria e soprattutto umidità li rende molto meno longevi di ciò che si pensa. Se un sale prende umidità la pesata diviene inaffidabile e il chimico inservibile anche se ancora attivo.
Non basta cuocerlo ogni tanto a fuoco basso?
Ciao!
A.
Re: Preparazione D76 a partire dai chimici puri.
Inviato: 16/01/2022, 0:24
da Pierpaolo B
Boh....
....io penso di no.
...oppure alcuni si la maggior parte no.
Ma occorrerebbe qualcuno che ne sa di chimica.
Re: Preparazione D76 a partire dai chimici puri.
Inviato: 16/01/2022, 0:45
da Damiano1987
Pierpaolo B ha scritto: ↑15/01/2022, 23:56
Il fatto che prendano aria e soprattutto umidità li rende molto meno longevi di ciò che si pensa. Se un sale prende umidità la pesata diviene inaffidabile e il chimico inservibile anche se ancora attivo.
Esattamente, con i sali il problema è che si pesa l'eventuale acqua di idratazione, ma è una bega che riguarda soprattutto bromuri e ioduri. Solitamente solfiti e carbonati sono facilmente conservabili. Comunque mi avete fatto venire voglia di fare delle prove sperimentali. La prossima settimana farò delle prove spettroscopiche su quelle bottiglie di catecolo e idrochinone (è roba degli anni 90). Con una bella analisi 1HNMR ci togliamo tutti i dubbi
Re: Preparazione D76 a partire dai chimici puri.
Inviato: 16/01/2022, 19:51
da chromemax
Non sono un chimico e non so neanche da dove si comincia per fare una prova spettroscopica ma la scatola in carta di soda solvay lasciata lì dopo qualche tempo è diventata letteralmente un mattone inutilizzabile; la successiva l'ho tenuta chiusa in uno ziplock con una bustina di silicagel, è ancora in forma di polvere, non so se e quanto si è idratata ma almeno così non ho più bisogno di martello e scalpello quando mi voglio fare un paio di litri di sviluppo per carta

Re: Preparazione D76 a partire dai chimici puri.
Inviato: 16/01/2022, 20:12
da Damiano1987
chromemax ha scritto: ↑16/01/2022, 19:51
Non sono un chimico e non so neanche da dove si comincia per fare una prova spettroscopica ma la scatola in carta di soda solvay lasciata lì dopo qualche tempo è diventata letteralmente un mattone inutilizzabile; la successiva l'ho tenuta chiusa in uno ziplock con una bustina di silicagel, è ancora in forma di polvere, non so se e quanto si è idratata ma almeno così non ho più bisogno di martello e scalpello quando mi voglio fare un paio di litri di sviluppo per carta
Immagino sia una scatola di cartone. Se si, è normale che ti sia diventato un mattone. Servono infatti contenitori di plastica col tappo buono. Io faccio sintesi chimica da anni per lavoro e non ho mai avuto problemi ad usare barattoli di carbonato vetusti, a patto che fossero stati ben chiusi.
Parlavo poi di prove spettroscopiche per controllare lo stato di salute non dei sali, ma dei rivelatori. In laboratorio ho dei contenitori di catecolo e idrochinone della Carlo Erba che dovrebbero avere almeno 20 anni. Se interesse a tutto il forum posso fare una prova NMR che da un'indicazione quantitativa oltre che qualitativa circa lo stato del materiale. Mi ci vogliono 10 minuti e il risultato è inoppugnabile.
In sostanza, se quelle bottiglie sono buone dovrebbero esserlo anche le vostre

Re: Preparazione D76 a partire dai chimici puri.
Inviato: 16/01/2022, 20:38
da chromemax
Si, si la scatola è in cartone (lo avevo scritto

). Se fai la prova a me interessa moltissimo, grazie!
Re: Preparazione D76 a partire dai chimici puri.
Inviato: 16/01/2022, 20:57
da Damiano1987
Eh, il cartone essendo permeabile all'umidità è come se non ci fosse. Comunque il "restare polvere" è un ottima indicazione della bontà dello stato dei sali. Per le prove, domattina dovrei riuscire a farne almeno una. Inizierò con l'idrochinone perché immagino sia il rivelatore più usato. Purtroppo non ho bottiglie antiche di metolo o fenidone, quindi non posso darvi indicazioni su di loro (a meno che qualcuno non si prenda il disturbo di spedirmene un po')
Re: Preparazione D76 a partire dai chimici puri.
Inviato: 17/01/2022, 7:50
da Marco Leoncino II°
Anche a me interesserebbe conoscere i risultati della prova e, se possibile, dettagli del metodo di laboratorio che utilizzi.
Re: Preparazione D76 a partire dai chimici puri.
Inviato: 17/01/2022, 16:11
da Damiano1987
Prova fatta.
La procedura è piuttosto semplice: ho pesato circa 50 mg di campione, una quantità analiticamente enorme, ma giustificata dal fatto di voler trovare eventuali tracce di prodotti di ossidazione. La polvere è stata introdotta nel tubo NMR e solubilizzata in circa 0.5 mL di metanolo deuterato. Nel campione sono presenti tre cose: metanolo; acqua (è sempre presente perchè il metanolo è igroscopico); idrochinone.
Null'altro. Non c'è alcuna traccia di benzochinone (la forma ossidata della molecola).
Per la conservazione dell'idrochinone in esame non era stata presa nessuna particolare precauzione. Si tratta semplicemente di un barattolo di vetro scuro da 100g ben chiuso e tenuto lontano da luce e fonti di calore la cui età è stimabile tra i 10 e i 20 anni. Vi risparmio i dettagli sul funzionamento dello strumento e sulla lettura dello spettro per non andare OT, ma per quello che vi interessa potete considerare l'idrochinone secco come perfettamente stabile. I pù curiosi possono trovare qui qualche informazione semplificata all'osso su come funziona la spettroscopia NMR:
https://it.wikipedia.org/wiki/Spettrosc ... a_nucleare.
Qui potete vedere lo spettro:
https://ibb.co/7bhj09W
Domani se lo strumento è libero ripeterò l'analisi su un vecchio lotto di catecolo podotto dalla Carlo Erba.
Spero di esservi stato utile.
Re: Preparazione D76 a partire dai chimici puri.
Inviato: 17/01/2022, 16:29
da chromemax
Grazie mille!!
Allora sono speranzoso sulla bontà del mio idrochinone, vecchio di 5--6 anni e conservato in busta di plastica chiusa inserita in barattolo di plastica scuro a doppia chiusura

Re: Preparazione D76 a partire dai chimici puri.
Inviato: 17/01/2022, 17:25
da zone-seven
bene … siamo tutti speranzosi e riconsolati… visto anche i miei idrochinoni fenidone … ecc ecc
Re: Preparazione D76 a partire dai chimici puri.
Inviato: 17/01/2022, 17:31
da Damiano1987
chromemax ha scritto: ↑17/01/2022, 16:29
Grazie mille!!
Allora sono speranzoso sulla bontà del mio idrochinone, vecchio di 5--6 anni e conservato in busta di plastica chiusa inserita in barattolo di plastica scuro a doppia chiusura
Visto che siamo su un forum molto tecnico ho voluto fare una prova rigorosa. Comunque l'idrochinone è incolore e il benzochinone fortemente colorato (marrone rossastro). Finchè la polvere è bianca potete stare tranquilli anche se non avete uno spettrometro NMR.
Re: Preparazione D76 a partire dai chimici puri.
Inviato: 17/01/2022, 17:43
da bernardosalines
Re: Preparazione D76 a partire dai chimici puri.
Inviato: 17/01/2022, 18:16
da Damiano1987
Lo faccio ben volentieri, perchè sono tanto ferrato sulla chimica quanto pippa con la fotografia. Sarà un bel dare-avere

Re: Preparazione D76 a partire dai chimici puri.
Inviato: 18/01/2022, 19:34
da Damiano1987
Oggi ho fatto lo stesso controllo sul lotto di catecolo di cui vi parlavo. Il risultato è lo stesso. Riassumendo: idrochinone e catecolo in povere possono essere considerati stabili a patto di osservare le minime attenzioni di cui sopra. Se li conservate a modo e avete dei problemi, non è colpa loro
Re: Preparazione D76 a partire dai chimici puri.
Inviato: 18/01/2022, 22:17
da Marco Leoncino II°
Grazie! Tu pensi che siano conservabili bene in bottiglie come quelle che mi ha consegnato il laboratorio (foto qui sotto)?
Per ora non ho avuto problemi.
Re: Preparazione D76 a partire dai chimici puri.
Inviato: 19/01/2022, 12:21
da Damiano1987
Marco Leoncino II° ha scritto: ↑18/01/2022, 22:17
Grazie! Tu pensi che siano conservabili bene in bottiglie come quelle che mi ha consegnato il laboratorio (foto qui sotto)?
Per ora non ho avuto problemi.
Vanno benissimo, magri tienili in un armadio al riparo dalla luce. Comunque dalle analisi che ho fatto non è che il prodotto è "ancora accettabile". È proprio perfetto, come fosse uscito di fabbrica ieri. Insomma, possiamo stare tranquilli

Re: Preparazione D76 a partire dai chimici puri.
Inviato: 19/01/2022, 12:27
da zone-seven
Damiano1987 ha scritto: ↑19/01/2022, 12:21
proprio perfetto, come fosse uscito di fabbrica ieri. Insomma, possiamo stare tranquilli
Evvaiii... Lagavulin per tutti
Grazie
@Damiano1987
Re: Preparazione D76 a partire dai chimici puri.
Inviato: 21/01/2022, 15:59
da Damiano1987
zone-seven ha scritto: ↑19/01/2022, 12:27
Damiano1987 ha scritto: ↑19/01/2022, 12:21
proprio perfetto, come fosse uscito di fabbrica ieri. Insomma, possiamo stare tranquilli
Evvaiii... Lagavulin per tutti
Grazie @Damiano1987
Prego!

Se avete altri rivelatori vetusti e voglia di investire in un francobollo, speditemeli pure. Magari riusciamo a buttre giù una lista dei reagenti longevi
Re: Preparazione D76 a partire dai chimici puri.
Inviato: 27/05/2022, 22:44
da Darkman
Da quello che mi ha insegnato un esperto di camera oscura, onde evitare la possibile ossidazione del Metolo, sarebbe consigliabile sciogliere prima un pizzico di Sodio solfito nell'acqua.
Re: Preparazione D76 a partire dai chimici puri.
Inviato: 31/05/2022, 22:49
da Damiano1987
Darkman ha scritto: ↑27/05/2022, 22:44
Da quello che mi ha insegnato un esperto di camera oscura, onde evitare la possibile ossidazione del Metolo, sarebbe consigliabile sciogliere prima un pizzico di Sodio solfito nell'acqua.
Esiste la voce che un pizzico di solfito protegga il metolo. Onestamente dubito che l'ossidazione sia così rapida da mangiarsi il metolo nei pochi secondi che impiega a sciogliersi prima dell'aggiunta del solfito.
Io comunque mi preparo in laboratorio delle dosi da mezzo litro di stock mischiando tutte le polveri in una provettona di plastica con tappo a vite. Quando devo preparare lo sviluppo scaldo 300 mL di acqua a circa 40 °C e aggiungo 500 mg di EDTA bisodico (anche quello già pesato in laboratorio). Agito fino a completa dissoluzione dell'EDTA, dopodichè scarico tutto il contenuto della provetta nella bottiglia. Agito fino a completa dissoluzione, poi porto a volume (500 mL). In questa maniera non ho mai avuto problemi di solubilità, intorbidimento o ossidazione
Re: Preparazione D76 a partire dai chimici puri.
Inviato: 22/02/2023, 17:54
da foorsi96
Ho sempre voluto provare a mixare il d76, forse nei prossimi mesi faro' un tentativo, post interessante
Re: Preparazione D76 a partire dai chimici puri.
Inviato: 20/05/2023, 23:09
da utente_23321324
Si dice che la formula che si trova del D76 e dell'ID-11 non sia rappresentativa del prodotto commercializzato rispettivamente da Kodak e Ilford. La formula del D76 è stata rivisitata negli anni poiché Kodak si accorse che l'idrochinone, in presenza di ossigeno, reagisce dando il chinone il quale a sua volta reagisce con il sodio solfito dando idrochinone-mono sulfonato e idrossido, quest'ultimo è responsabile dell'elevazione del pH da 8.3 a circa 9.
Questo avviene con il tempo. Quindi il D76 che fate a casa NON è equivalente, alla lunga, al D76 che comprate già bello che fatto.
Re: Preparazione D76 a partire dai chimici puri.
Inviato: 21/05/2023, 18:14
da Giuseppe Pan
Domanda da un milione.... La busta del D76 è unica, cioè ci sono dentro tutti i componenti da miscelare, ho sempre diluito quello fatto in casa nell'ordine della ricetta. Potrei preparare un busta con i componenti e diluire tutto in una volta come si fa con la busta commerciale?
Non credo che possa cambiare qualcosa.
Re: Preparazione D76 a partire dai chimici puri.
Inviato: 21/05/2023, 18:19
da utente_23321324
Nella busta commerciale ci sono altri componenti che non vengono mai rivelati, che sono agenti anti impaccanti, solubilizzatori, sequestranti etc... che fanno in modo che puoi sciogliere tutto insieme.
Invece con la formula fai da te devi obbligatoriamente seguire un ordine preciso. Nulla toglie come dici tu di pre-pesarti i vari componenti e poi metterli in bustine separate, tante quanti sono i componenti del d76, ma mai in una busta unica.
Re: Preparazione D76 a partire dai chimici puri.
Inviato: 10/06/2023, 8:50
da Giuseppe Pan
Come è stato scritto il D76 si "ossida" con l'ossigeno dell'aria, ma se come facciamo tutti, lo conserviamo in bottigliette piene quasi all'orlo il problema non dovrebbe esistere.
Quanto ossigeno serve per innescare il processo? Chromemax scriveva di sviluppo in vasche aperte, noi lo usiamo in un ambiente chiuso(tank) e per al massimo credo 15/16minuti.Non credo che abbia il tempo di modificarsi in modo drastico.
Il momento di massimo contatto con l'aria si ha al momento della diluizione delle polveri in acqua, non sono un chimico ma penso che non sia tutto sto dramma, certe volte sembra di leggere filosofia sul sesso degli angeli

Questo è quello che penso..... da ignorante

Re: Preparazione D76 a partire dai chimici puri.
Inviato: 10/06/2023, 9:21
da Merambolin
Diciamo che il concetto base è quello, meno scambio/contatto ha con l'aria e meglio è. Il problema è che l'ossigeno ( che è l'agente ossidante) è presente un po ovunque, anche nella molecola dell'acqua in cui vengono disciolte le polveri, e quindi questa azione di ossidazione in un modo o nell'altro avviene.
Poi logicamente, più è limitato questo contatto con l'ossigeno per quantità e durata e meglio è, senza contare che all'interno della.formula ci sono dei preservanti ( potremmo dire anti-ossidanti) che aiutano a proteggere gli agenti di sviluppo veri e propri.
Poi questa è tutta teoria nella pratica ci sono mille variabili che influiscono sulla durata e l'efficacia dello sviluppo, così come varia la sua durata. Non è che c"è il countdown che allo scadere dei 3 o dei 6 mesi automaticamente muore
Inviato dal mio CPH2145 utilizzando Tapatalk
Re: Preparazione D76 a partire dai chimici puri.
Inviato: 10/06/2023, 12:30
da Giuseppe Pan
Quello che penso è che spesso ci facciamo mille problemi su cose "stupide".
Sicuramente avviene qualcosa miscelando lo sviluppo, quanto e in quanto tempo e da vedere, l'ossigeno è dappertutto ma quanto ne serve per rovinare il D76, si dovrebbero fare lunghe analisi per avere qualche certezza. Una volta preparato e conservato in modo opportuno non ci dovrebbero essere problemi, non si mette in bacinelle aperte per mesi, e anche chi lo usa in bacinella per il grande formato non credo che in quei 6-10minuti riesca a rovinarlo.
Io lo uso 1:1 one shot e con un litro sviluppo 4 rulli, male che vada in 2 mesi lo finisco.
Re: Preparazione D76 a partire dai chimici puri.
Inviato: 10/06/2023, 12:33
da Merambolin
Esatto, sono tutte considerazioni teoriche e giuste da fare ed è giusto seguirle per ottenere un risultato ottimale o comunque andare sul sicuro ma ciò non significa che siano sempre necessarie
Ho visto gente davvero tirare fuori sviluppi tenuti peggio del cartone del latte
Inviato dal mio CPH2145 utilizzando Tapatalk
Re: Preparazione D76 a partire dai chimici puri.
Inviato: 14/09/2023, 8:08
da pn83
Ripesco questo thread perché si è parlato di EDTA bisodico da aggiungere nella miscelazione del D76.
Io ultimamente sto avendo delle soddisfazioni col
D23 che mi restituisce negativi morbidi e semplici da stampare.
L’unico problema è che appena appendo la pellicola ad asciugare noto dei residui solidi sul film, che poi asciugano e restano lì. Pochi ma fastidiosi, forse “lavabili” con un secondo giro, ma preferirei di no, leggevo che possono essere dovuti al calcio nell’acqua che interagisce col solfito.
Il D23 stock lo ottengo usando acqua purificata presa in negozio apposito, ma quando lo devo usare lo diluisco 1:1 con acqua di rubinetto.
Al prossimo giro proverò ad usare l’acqua purificata anche per la diluizione 1:1, però vi chiedo se l’aggiunta di questo EDTA può cambiare i tempi di sviluppo ma soprattutto se lo posso aggiungere al momento dell’uso (quando faccio 1:1) o se va messo in sede di preparazione della soluzione stock, e quanto eventualmente metterne (500mg/l?).
Ho letto ieri sera velocemente che l’EDTA è disponibile in almeno due versioni, uno leggermente acido e uno leggermente alcalino… se così fosse immagino che quello bisodico sia alcalino e quindi più adatto ad una soluzione rivelatrice, ma ignoro la chimica fondamentale e vado per deduzione.
Grazie a chi vorrà aiutarmi a fare chiarezza!
Re: Preparazione D76 a partire dai chimici puri.
Inviato: 14/09/2023, 10:06
da trinchetto
pn83 filtra l' acqua prima di usarla. E anche per il lavaggio finale. Mi sa che il tuo acquedotto ti propina un' acqua con granuli di calcare.
Re: Preparazione D76 a partire dai chimici puri.
Inviato: 14/09/2023, 10:34
da pn83
Forse hai ragione. Però perché con gli altri sviluppi non mi capita?
Re: Preparazione D76 a partire dai chimici puri.
Inviato: 14/09/2023, 10:36
da Merambolin
Anche gli altri presi come riferimento li prepari da solo?
Inviato dal mio CPH2145 utilizzando Tapatalk
Re: Preparazione D76 a partire dai chimici puri.
Inviato: 14/09/2023, 11:06
da pn83
No, ma non è che abbia provato molte cose: D76 (kodak, bustone) #9 (rodinal ars-imago) e Hydrofen.
Re: Preparazione D76 a partire dai chimici puri.
Inviato: 14/09/2023, 12:11
da chromemax
Anche secondo me si tratta di impurità nell'acqua e/o nella soluzione di lavoro. Il sequestrante serve in caso di acque dure per cui alte concentrazioni di solfito di sodio nella formula di sviluppo possono causare la formazione di solfati di calcio che essendo insolubili si manifestano come una lattiginosità della soluzione allorquando si scioglie il solfito. La lattiginosità è causata da particelle finissime in sospensione che entrano poi nell'emulsione e lì rimangono divenendo visibili quando si ingrandisce il negativo. L'edta previene questa cosa, anche se a livello fotografico anchell e troo segnalavano qualche controindicazione nell'uso di questo sale. Per lo sviluppo è da preferire la forma tetrasodica che ha un pH alcalino, io ne uso 1g/l ma lo uso solo per preparare l'hypo clearing, se faccio sviluppi preferisco usare acqua depurata (non quella demineralizzata del supermercato) oppure acqua minerale con pochi sali (se ne è parlato nel forum di una nota marca col nome di una santa che comincia per "A") o l'acqua del rubinetto fatta bollire per una decina di minuti e quindi decantata e filtrata con carta filtro. Una volta miscelati tutti gli ingredienti della formula io filtro lo sviluppo con un filtro per vernice spray oppure con un filtro in carta per caffè americano per elinare ogni residuo solido.
Re: Preparazione D76 a partire dai chimici puri.
Inviato: 14/09/2023, 14:44
da pn83
Beh intanto vi ringrazio per le delucidazioni, siete stati molto chiari e gentili. Proverò ad usare l’acqua depurata (ovviamente non quella venduta al supermercato) anche per la diluizione di lavoro e vedrò se il problema si sarà attenuato o risolto. Altrimenti proverò con filtri o altri spacciatori di acqua depurata e/o acque “sante”.
Re: Preparazione D76 a partire dai chimici puri.
Inviato: 14/09/2023, 17:26
da pn83
Come non detto… adesso mi capita anche col Rodinal (tagliato con acqua di rubinetto). Questo però è un bubbone davvero più grande del solito. Siccome ultimamente ho sviluppato solo con D23 ho confuso il colpevole. Evidentemente è proprio l’acqua.
Allego immagine.
Re: Preparazione D76 a partire dai chimici puri.
Inviato: 14/09/2023, 18:09
da Giuseppe Pan
Paolo, uso acqua dell'eurospin che costa meno di quella"santa" ed è la stessa fonte, mai avuto problemi.
Anche con il D76 fatto in casa... Finora tutto bene.
Quella del mio rubinetto è calcare puro

Ho fatto la fesseria di usarla all'inizio e il D76 delle buste sembrava latte di mandorla, si schiariva dopo un'ora e sul fondo rimanevano residui solidi.
Re: Preparazione D76 a partire dai chimici puri.
Inviato: 14/09/2023, 18:48
da pn83
Giuseppe Pan ha scritto: ↑14/09/2023, 18:09
Paolo, uso acqua dell'eurospin che costa meno di quella"santa" ed è la stessa fonte.
Grande! Ottima segnalazione. La Santa di riferimento avrà comunque le mie preghiere all’apertura della tank.
A questo punto la userei per miscelare tutto quello che è a valle dello stock (per lo stock continuerò con quella depurata).
Re: Preparazione D76 a partire dai chimici puri.
Inviato: 15/09/2023, 8:31
da zone-seven
chromemax ha scritto: ↑14/09/2023, 12:11
(se ne è parlato nel forum di una nota marca col nome di una santa che comincia per "A") o l'acqua del rubinetto fatta bollire per una decina di minuti e quindi decantata e filtrata con carta filtro. Una volta miscelati tutti gli ingredienti della formula io filtro lo sviluppo con un filtro per vernice spray oppure con un filtro in carta per caffè americano per elinare ogni residuo solido.
pn83 ha scritto: ↑14/09/2023, 14:44
Altrimenti proverò con filtri o altri spacciatori di acqua depurata e/o acque “sante”.
post251788.html#p251788
Re: Preparazione D76 a partire dai chimici puri.
Inviato: 15/09/2023, 9:04
da Pierpaolo B
pn83 ha scritto: ↑14/09/2023, 17:26
Come non detto… adesso mi capita anche col Rodinal (tagliato con acqua di rubinetto). Questo però è un bubbone davvero più grande del solito. Siccome ultimamente ho sviluppato solo con D23 ho confuso il colpevole. Evidentemente è proprio l’acqua.
Allego immagine.
IMG_0667.jpeg
Nell'immagine che hai inserito l'acqua strappa..... quindi c'è poco imbibente.
Re: Preparazione D76 a partire dai chimici puri.
Inviato: 15/09/2023, 9:36
da pn83
Sì, è al minimo, lo aumenterò da 1:500 a 1:250, grazie! (Prima ne usavo troppo).
Re: Preparazione D76 a partire dai chimici puri.
Inviato: 27/09/2023, 10:15
da pn83
Ieri ho sviluppato un'altra TMAX400 con il D23 1:1. Prima di procedere però ho lavato a fondo il cilindro in cui miscelo lo sviluppo, perché c'era una bella incrostazione di calcare sul fondo. L'ho lavato usando anche un po' di acido citrico, per sciogliere quella robaccia. Dopo generosi risciacqui ho sviluppato, arrestato e fissato, lavato (metodo Ilford) dove per gli ultimi ribaltamenti ho usato l'acqua "santa" versione eurospin. Poi imbibente (aumentato, per seguire il consiglio di
@Pierpaolo B) sempre usando l'acqua santa, così come per miscelare il D23 1:1. Risultato: calcare sconfittoi!

Re: Preparazione D76 a partire dai chimici puri.
Inviato: 27/09/2023, 10:20
da Giuseppe Pan
Quando non hai più speranze, rivolgersi ai santi può risultare efficace

Re: Preparazione D76 a partire dai chimici puri.
Inviato: 27/09/2023, 11:04
da pn83
Certo, e ho creato l'apposita preghiera:
S.Anna,
liberaci dal calcare,
ché ogni foto ti possa santificare,
delle tank la protettrice
delle spirali la pulitrice
dai cilindri e dagli imbuti, via i granuli cornuti
che sia acida o alcalina,
la soluzione è cristallina
Quando l'acqua è troppo dura
vieni in camera oscura.
Proteggici dalle incrostazioni
e dalle sottoesposizioni
col tuo manto candido e avvolgente
addolcisci anche l'imbibente.
Re: Preparazione D76 a partire dai chimici puri.
Inviato: 27/09/2023, 11:31
da Giuseppe Pan

Bellissima.
Re: Preparazione D76 a partire dai chimici puri.
Inviato: 27/09/2023, 15:00
da -Leo-
Bellissima!
Meritava il "santino"
Re: Preparazione D76 a partire dai chimici puri.
Inviato: 27/09/2023, 21:16
da pn83
-Leo- ha scritto: ↑27/09/2023, 15:00
Meritava il "santino"

Re: Preparazione D76 a partire dai chimici puri.
Inviato: 28/09/2023, 11:01
da zone-seven
Re: Preparazione D76 a partire dai chimici puri.
Inviato: 28/09/2023, 11:24
da graic
si può usare l'acqua prodotta da una macchina per il miglioramento dell'acqua potabile, così oltre a non aver problemi nella preparazione dei chimici minimizziamo anche quelli con i nostri reni oltre che contribuire a ridurre la plastica nel mondo.
Re: Preparazione D76 a partire dai chimici puri.
Inviato: 07/01/2025, 9:27
da Principale secondo
Buon anno a tutti.
Mi accodo a questa discussione per una domanda statistica:
chi di voi prepara home made il D76/ID11 con i chimici puri, ha per caso notato differenze con quelli commerciali in termini di maggiore "potenza" di quest'ultimo?
Io con il preparato fatto da me riscontro una forza maggiore che mi porta ad avere sempre un contrasto maggiore ( a parità di tempi) a confronto con il D-11 che ho maggiormente usato.
Ho impiegato indifferentemente sia nella soluzione stock che quando diluisco o l'acqua di rubinetto più dura o quella in bottiglia (media) e il risultato non cambia. Inutile dire che sono anche molto scrupoloso nel seguire la ricetta con bilance di precisione.
Il mio uso solito è il classico 1+1
So che un confronto "ad occhio" vale qual che vale....ormai lo conosco e mi regolo di conseguenza... ma volevo capire se è appunto solo impressione mia, se succede ad altri e se ci può essere una base di verità supportata da dati chimici.
Re: Preparazione D76 a partire dai chimici puri.
Inviato: 07/01/2025, 9:39
da chromemax
A me succede il contrario, il d-76 "casalingo" è più spompo
Re: Preparazione D76 a partire dai chimici puri.
Inviato: 07/01/2025, 9:54
da pn83
Dunque, io mi preparo il D76 in casa e lo uso anch'io 1:1. Ho approfittato delle vacanze per sperimentare un po' il sistema zonale, pur non avendo fatto la taratura della catena ma seguendo la profilazione fatta da @chromemax sulla FP4. Scena normale con sviluppo normale, ombre in III e alteluci senza dettaglio in VIII, sviluppando poi per un range di densità 0.9, quindi con gamma 0,4 e qualcosa (ho un durst a condensatori) cascando sui 5'30" di sviluppo. Devo direi che forse la zona VIII mi è venuta più verso la "zona IX", mentre zona III perfetta. Non è quindi un confronto col D76 commerciale, che ho usato una volta sola, ma direi che rispetto alle tabelle pubblicate qui nel forum di certo non mi è risultato meno attivo.
Re: Preparazione D76 a partire dai chimici puri.
Inviato: 13/01/2025, 13:41
da Principale secondo
chromemax ha scritto: ↑07/01/2025, 9:39
A me succede il contrario, il d-76 "casalingo" è più spompo
Perfetto!
...e allora stiamo punto e a capo.

Re: Preparazione D76 a partire dai chimici puri.
Inviato: 13/01/2025, 14:01
da zone-seven
solo a me sembrano uguali ?
Re: Preparazione D76 a partire dai chimici puri.
Inviato: 21/01/2025, 18:14
da pn83
Lo scorso weekend ho fatto un test penso piuttosto preciso usando una Fomapan 400, esposta a 160 ISO e sviluppata per 10' in D76 1:1 "home made". Seguendo il test di
@chromemax, se ci fosse stata corrispondenza tra i chimici, avrei dovuto avere uno sviluppo normale per il mio ingranditore a condensatori, con gradiente 0.4 circa.
Ebbene, stampando a condensatori al grado II su Ilford RC le candidate zone I, IV, V, VI, VII, VIII e IX, ho visto che la I è ok, mentre le altre sono spostate di una zona in su, in particolare la IV è praticamente una V, e la VII è una VIII. Dalla VIII non si vede più niente.
Insomma, mi pare un po' troppo vitaminizzato!

Re: Preparazione D76 a partire dai chimici puri.
Inviato: 27/01/2025, 11:07
da Principale secondo
pn83 ha scritto: ↑21/01/2025, 18:14
Lo scorso weekend ho fatto un test penso piuttosto preciso usando una Fomapan 400, esposta a 160 ISO e sviluppata per 10' in D76 1:1 "home made". Seguendo il test di @chromemax, se ci fosse stata corrispondenza tra i chimici, avrei dovuto avere uno sviluppo normale per il mio ingranditore a condensatori, con gradiente 0.4 circa.
Ebbene, stampando a condensatori al grado II su Ilford RC le candidate zone I, IV, V, VI, VII, VIII e IX, ho visto che la I è ok, mentre le altre sono spostate di una zona in su, in particolare la IV è praticamente una V, e la VII è una VIII. Dalla VIII non si vede più niente.
Insomma, mi pare un po' troppo vitaminizzato!
Quindi mi stai confermando che è "più potente" l'home made.
Questo significa che ci sono tolleranze nei chimici puri acquistati e nel loro solvente ( acqua) e nella preparazione, che fanno ottenere risultati leggermente diversi ad ognuno di noi.
Come ogni catena di lavoro, allora, anche la preparazione dello sviluppo deve essere personalizzata e adattata partendo dalla ricetta base.
Un po' come il caffè. Che non viene mai uguale a nessuno, basta già cambiare la mano di chi lo fa.
Questo ci fa riflettere di quanto sia vero che in fotografia la qualità e la purezza della chimica e la costanza dei processi di produzione, siano indispensabili per avere sempre risultati costanti.
Re: Preparazione D76 a partire dai chimici puri.
Inviato: 27/01/2025, 13:34
da pn83
Principale secondo ha scritto: ↑27/01/2025, 11:07
Quindi mi stai confermando che è "più potente" l'home made.
Dunque, mi sembra prudente affermare un concetto leggermente più debole: rispetto ai test di
@chromemax per quella pellicola, nel mio test, coi miei materiali e la mia attrezzatura (macchina fotografica, obiettivo, obiettivo dell'ingranditore e relativi flare e/o starature fisiologiche) il tempo di sviluppo adatto ad una stampa a luce condensata al grado II mi fornisce troppo contrasto.
Ci vado coi piedi di piombo perché sono i primi test che faccio in questo modo e "l'home made" per definizione non è uno standard, quindi su di esso non si possono fare valutazioni generali.
Le tolleranze nei chimici puri spero siano basse, almeno all'acquisto (modo di conservazione = altra variabile). Uso quelli di Bellini più l'idrochinone della Axelcolor. Sull'acqua ti posso solo dire che sono devoto ad una Santa con basso residuo fisso.
Re: Preparazione D76 a partire dai chimici puri.
Inviato: 27/01/2025, 15:17
da Principale secondo
Appunto.
Ecco... gia tu usi un idrochinone di altro fornitore. Forse è influente... forse no....
Ma non siamo una industria chimica, quindi basta che ci troviamo noi stessi coi conti.
Grazie
Re: Preparazione D76 a partire dai chimici puri.
Inviato: 27/01/2025, 22:17
da chromemax
Anni fa ho fatto un test comparativo e il D-76 casalingo mi risultava il più debole